Home
Math
German
French
English
Download
-
-
-
no Options available
Home
Math
German
French
English
Download
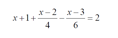
Task 3
Solve the equation to x:
Solution
Next