Home
Math
German
French
English
Download
-
-
-
no Options available
Home
Math
German
French
English
Download
Task 10
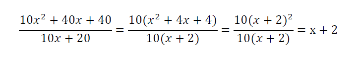
Simplify as much as possible:
Solution
Finish